Distributed Energy,2017, 2(5): 55-59
doi: 10.16513/j.cnki.10-1427/tk.2017.05.009
灰尘沉积对光伏组件发电性能的影响
Dust Deposition Impact on Power Generation Performance of Photovoltaic Modules
武永鑫1,王虎1,李世杰1,李芮1,王靖雯2
1.中国大唐集团科学技术研究院有限公司,北京 石景山 100040
2.宁波诺丁汉大学,浙江 宁波 315100
 
【摘要】  积灰会影响到光伏组件对太阳辐照量的接收,从而造成输出功率下降。针对大理地区的气候特点,通过模拟与实测相结合的方法,对该地区积灰及雨水冲刷对组件发电性能的影响进行了研究。研究结果表明少雨的1—5月份,各月积灰造成的组件输出功率的衰减为11.4%~13.3%,组件积灰较长时间后输出功率下降明显,积灰90日后,输出功率下降21.6%。雨水冲刷研究结果表明,经历6—10月份的雨水冲刷后,测试积灰组件相对发电效率由78.1%上升至90.0%,雨水对清洁光伏组件表面灰尘效果明显。
【关键词】  光伏组件 ; 表面积灰 ; 相对发电效率 ; 输出功率 ; 雨水冲刷

【Abstract】  The dust deposition on the surface of photovoltaic module will impact its reception of solar radiation and reduce the power generation efficiency. Aiming at the climatic characteristics of Dali, this paper studies the dust deposition and the rain washing impact on power generation efficiency of photovoltaic modules by combining simulation with actual measurement. The results show that the situation of power generation efficiency degradation caused by dust deposition in different months is similar from January to May with less rain, whose range is between 11.4% and 13.3%. The power generation efficiency of photovoltaic module decreases obviously after a long term dust deposition, which can be up to 21.6% in 90 days. The rain wash research results show that the power generation efficiency of the dust deposition module increases from 78.1% to 90% after undergoing rain washing from June to October, which is significantly improved. The cleaning effect of rainwater on the dust deposition on the photovoltaic module surface is obvious.
【Key words】  photovoltaic module ; dust deposition on surface ; relative power generation efficiency ; output power ; rain washing
 
0 引言

光伏电站在运行过程中,组件表面会逐渐沉积灰尘,影响组件对太阳辐射量的接收,从而造成电站发电量损失[1,2,3,4]

国内外科学家针对灰尘沉积对光伏组件发电效率的影响展开了大量研究。文献[5]通过研究发现,灰尘对组件发电效率的影响可达10%~25%。文献[6]通过模拟自然灰尘情况,得出积灰密度与光伏发电效率成反比,并给出了输出功率与积灰密度之间的线性拟合公式。朴在林等人发现积灰密度在0.124 4 g/m2时,光伏组件的转换效率下降16.59%;积灰密度达到0.898 g/m2时,光伏组件的转换效率下降54.95%[7]。高德东等研究了荒漠地区光伏组件表面积灰对转化效率的影响,结果表明灰尘量达2~8 g/m2时,会使得光伏电池相对效率降低5%~25%[8]。赵卓静等研究结果显示灰尘覆盖并不影响光伏电池I-V曲线的趋势,但随着灰尘密度的增大,光伏电池的最大输出功率、转换效率、短路电流及开路电压都出现下降[9]

目前,国内外主要通过研究组件表面灰尘密度对光伏组件透过率的影响,但是对于同一地区,不同月份和不同气候条件下,积灰与组件输出功率之间的关系报道较少。本文针对云南大理地区光伏组件表面积灰情况,分析不同月份、不同积灰时长及雨水冲刷对组件发电效率的影响。

1 大理地区气候环境

大理地区具有低纬度高原季风气候特性,四季气候差异不明显,温差较小。11月到次年4月较为干燥,降水量较少,仅占全年的5%~15%,5—10为雨季,降水量达全年的85%~95%。因此,选取2016年1—5月份开展组件积灰测试研究,6—10月开展雨水冲刷对组件输出功率影响检测。图1为meteonorm软件提供的大理地区多年平均月降雨天数和降雨量数据图。

图1
大理地区各月平均降雨量和降雨天数
Fig.1
Mean monthly precipitation and monthly mean raining days in Dali area.

2 实验方案

在自然积灰条件下,对不同月份,不同积灰时长及雨季雨水冲刷前后的光伏组件的输出功率进行测量,以分析光伏组件发电性能的变化情况。

实验使用意大利HT公司生产的IV400型Ⅰ-Ⅴ测试仪,对光伏组件对光伏组件积灰前后的输出功率进行测试,该设备可以获得被测组件在测试及标准条件下的开路电压(UOC)、短路电流(ISC)、最大功率点电压(Upm)、最大功率点电流(Ipm)、最大输出功率(Pm)、填充因子(FF)、组件温度及组件的Ⅰ-Ⅴ曲线和输出功率曲线。IV400型Ⅰ-Ⅴ测试仪配备太阳总辐射量测试仪,用以获得组件检测时的太阳总辐照量。

实验采用单晶光伏组件,其最大输出功率为320 W,组件放置朝向为正南,安装倾角为26°,详细的组件参数如表1所示。积灰对组件发电性能的影响研究中,组件输出功率采集时间为2016年1—5月。测试数据于晴朗天气下采集,数据采集时组件倾斜面上的太阳辐射量≥700 W/m2

表1
光伏组件技术参数
Table 1
Parameters of photovoltaic module

3 结果分析与讨论
3.1 组件表面灰尘对相对发电效率的影响

文献[10]通过研究灰尘对组件接收太阳辐照强度的影响,提出了相对透过率与积灰时长之间的拟合公式。组件表面积灰密度与其输出功率下降存在着必然的联系,透过率的下降导致了组件输出功率的下降,积灰越多,相同条件下组件的输出功率越低[11,12]。因此,本文使用相对透过率与积灰时长之间的关系式来拟合组件积灰后输出功率的变化情况,表达式为

η=PdustPclean=(1a)+exp(bDc)

式中:Pclean为积灰前输出功率;Pdust为积灰后的输出功率;η为相对发电效率,反映了光伏组件输出功率的变化;abc为经验系数;D为组件暴露天数。

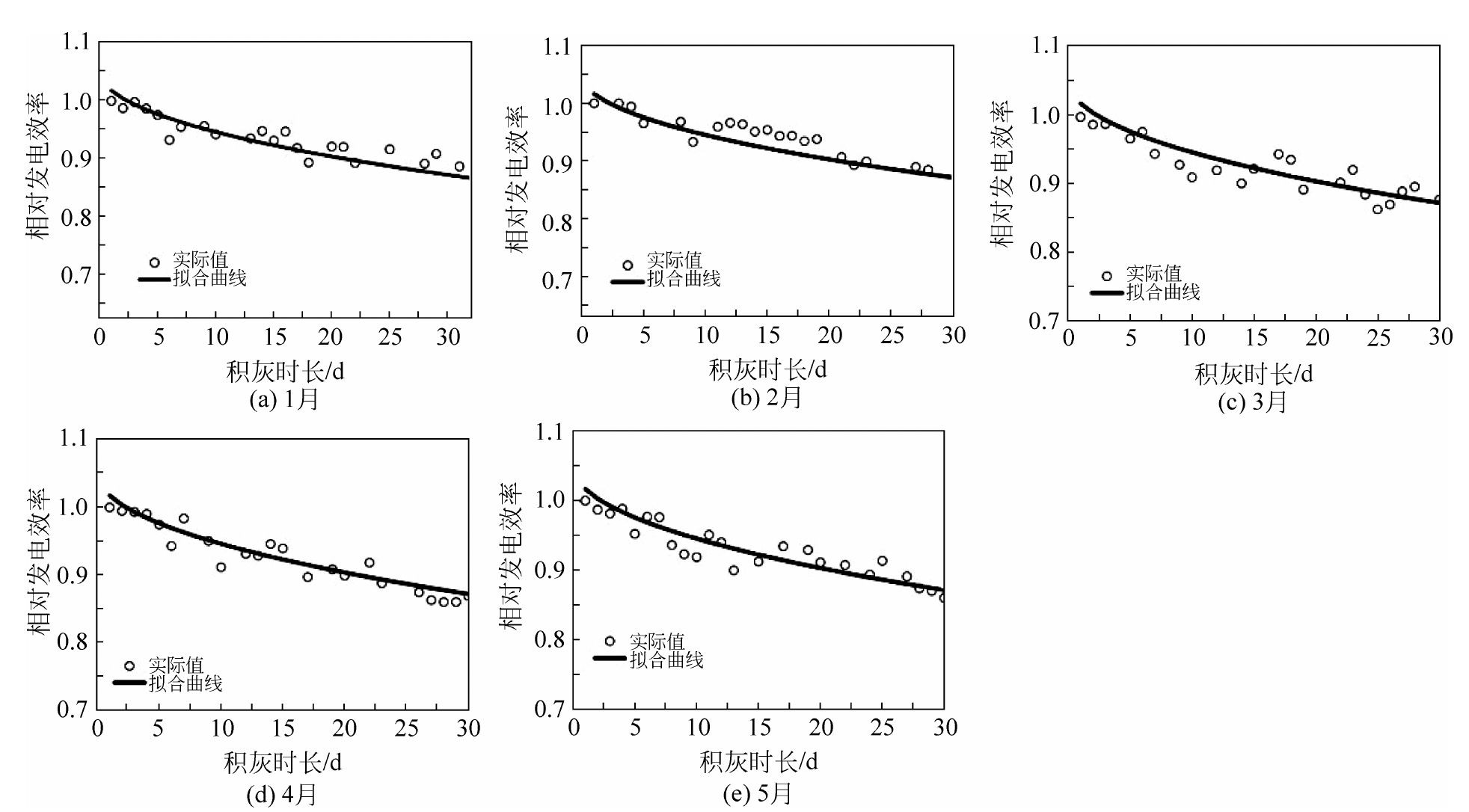
使用公式(1)对2016年1—5月各月相对发电效率随积灰时长的变化进行拟合,所使用的拟合误差计算方法主要评估指数为均方根误差(root mean square error,RMSE)、平均百分比误差(mean percentage error,MPE)和相关系数(r)。其中,RMSE和MPE值越接近于0,拟合精度越高;r值越接近于1拟合越精准。图2为各月积灰对发电效率影响的拟合曲线,所获得的拟合误差和各月的经验系数如表2所示。

表2
经验系数和统计误差
Table 2
Experience factor andstatistical error

图2
相对发电效率与积灰时长的关系曲线
Fig.2
Relationship curve between power generation efficiency and time of dust deposition

图2中可以看出,模拟曲线与实测数据变化趋势一致,所得到满足公式(1)的经验系数分别为a=0.952 5,b=-0.031 38和c=0.534 6。由表2可知,各月拟合评估指数中,RMSE值为0.017~0.020,MPE值为-0.6%~1.4%,r值大于0.908。 

由此可知1—5月中各月的相对发电效率随积灰时长的变化情况能够较好的使用公式(1)进行拟合。各月积灰对光伏组件输出功率造成的衰减较为接近,不同月份积灰造成的组件输出功率下降分别为:11.4%、11.5%、12.9%、13.3%和13.2%。可见,该地区1—5月光伏组件表面的灰尘的沉积情况相似。

使用所获得的关系式对较长时间积灰引起的组件发电效的变化进行模拟。图3为较长积灰时间下(90 天)光伏组件相对发电效率变化的实测与模拟数据的拟合结果,拟合评估指数如表3所示。可以看出,图3中实测数据散点大多数高于模拟曲线,这表明模拟数据要低于实测结果,模拟曲线与实测数据具有相同的变化趋势。在积灰时间较短时组件相对发电效率下降较快,随着积灰时间的逐渐增长,组件相对发电效率下降趋于和缓,这与报道的组件表面灰尘质量增加引起的输出功率的变化趋势相一致[13]表3中拟合评估指数显示,RMES值、MPE值和r值分别为0.048、-0.79%和0.925,RMES值和MPE值较小,r值接近1,拟合结果较好。光伏组件在积灰30天后,相对发电效率下降10.8%,60天后下降了15.9%,90天后下降21.6%。对比之前的报道[2,6],大理地区由于气候湿润,灰尘对光伏组件发电效率的影响相对较小,但是由于该地区土壤为红壤,此种类型土壤积尘对光伏发电影响较大[14],长期积灰对组件发电效率的影响同样不容忽视。

表3
拟合结果误差指数
Table 3
Statistics of fitting result

图3
模拟数据与实测数据的拟合曲线
Fig.3
Fitting curve of simulated data and measured data.

3.2 雨水冲刷对相对发电效率的影响

大理地区6—10月为雨季,降水量较大,研究该时段雨水冲刷对积灰光伏组件相对发电效率的影响,对于电站的清洁维护方案的制定是十分必要的。图4为6—10月雨水冲刷前后光伏组件相对发电效率的变化曲线。由于雨水的冲刷作用,组件相对发电效率逐渐增大,变化趋势近似指数曲线。在未经雨水冲刷之前,积灰光伏组件的相对发电效率为78.1%,经过6月份的雨水冲刷之后,其相对发电效率提升至80.7%。在经历7月份雨水冲洗之后,相对发电效率上升至87.3%。在经过8月份的雨水冲刷之后,光伏组件的相对发电效率达到了90%,其后组件虽然经历了9、10月份雨水冲刷,但是其相对发电效率并没有进一步的上高,依然维持在90%左右。从以上结果可以看出,大理地区雨季的雨水冲刷能够明显改善灰尘遮挡对光伏组件发电效率造成的损失,但是无法彻底清除组件表面灰尘的残留影响,这也许是由于组件表面灰尘主要有当地的土壤构成,而大理地区的土壤中铁和铝的氧化物含量较多,这些氧化物易形成结晶,吸附于组件表面,不易因雨水冲刷而被破坏。因此,当地光伏电站需要结合实际情况对组件表面开展进行清洁工作。

图4
雨水冲刷对光伏组件相对发电效率的影响
Fig.4
Influence of power generation efficiency of photovoltaic module by rain washing.

4 结论

(1) 使用Adel A Hegazy提出的拟合公式能够很好的拟合大理地区光伏组件相对发电效率随积灰时长的变化情况。1—5月中,各月灰尘沉积情况基本相同,光伏组件相对发电效率的衰减值近似,各月灰尘引起的组件发电效率下降为11.4%~13.3%。较长时间的组件积灰研究显示,组件相对发电效率的衰减呈现出先增大后逐渐减小的趋势,长期的积灰对光伏组件输出功率的影响明显。本文所获得的拟合公式对于预测大理地区积灰对光伏组件输出功率的影响具有一定的参考价值。

(2) 6—10月雨水冲刷能够显著的提高积灰组件的相对发电效率,但是无法彻底清除灰尘残留造成的影响。大理地区光伏电站可以根据各月份降雨量的情况来制定光伏组件清洗方案,以节约清洗费用,提高电站的发电量,达到最大的收益。

参考文献

[1] 孟伟君朴铁军司德亮. 灰尘对光伏发电的影响及组件清洗研究[J]. 太阳能,2015(2):22-27.
MENG Weijun, PIAO Tiejun, SI Delianget al. The research of photovoltaic panels clearing[J]. Solar Energy,2015(2):22-27.
[本文引用:1]
[2] 张宇白建波曹阳. 积灰对屋顶光伏电站性能的影响[J]. 可再生能源,201331(11):9-12.
ZHANG Yu, BAI Jianbo, CAO Yang. Influence of dust deposition on the performance of rooftop solar power stations[J]. Renewable Energy Resource,201331(11):9-12.
[本文引用:2]
[3] 李强胥永利王凤军. 风光互补微电网的建模及最大功率跟踪控制策略[J]. 分布式能源,20161(2):50-54.
LI Qiang, XU Yongli, WANG Fengjun. Modeling and research on the maximum power point tracking control strategy of wind-solar hybrid micro-grid[J]. Distributed Energy,20161(2):50-54.
[本文引用:1]
[4] 崔家文张春茂张宏彪. 光伏发电系统可靠性分析的贝叶斯网络模型[J]. 分布式能源,20161(1):47-51.
CUI Jiawen, ZHANG Chunmao, ZHANG Hongbiaoet al. Bayesian network model for photovoltaic power plant reliability analysis[J]. Distributed Energy,20161(1):47-51.
[本文引用:1]
[5] MANI M, PILLAI R. Impact of dust on solar photovoltaic (PV) performance:Research status,challenges and recommendations[J]. Renewable & Sustainable Energy Reviews,201014(9):3124-3131.
[本文引用:1]
[6] JIANG H, LU L, SUN K. Experimental investigation of the impact of airborne dust deposition on the performance of solar photovoltaic (PV) modules[J]. Atmospheric Environment,201145(25):4299-4304.
[本文引用:2]
[7] 朴在林张萌丁文龙. 户用型光伏电池板积灰密度对转换效率影响研究[J]. 中国农机化学报,201536(4):238-241.
PIAO Zailin, ZHANG Meng, DING Wenlong. Study of the dust density impact on conversion efficiency of household type photovoltaic battery[J]. Journal of Chinese Agricultural Mechanization,201536(4):238-241.
[本文引用:1]
[8] 高德东孟广双王珊. 荒漠地区电池板表面灰尘特性分析[J]. 可再生能源,201533(11):1597-1602.
GAO Dedong, MENG Guangshuang, WANG Shanet al. Characteristics of dust particle on solar panel surface in desert area[J]. Renewable Energy Resource,201533 (11):1597-1602.
[本文引用:1]
[9] 赵卓静崔敏王怡然. 灰尘对硅系列太阳能电池性能的影响[J]. 物理实验,201636(3):624-629.
ZHAO Zhuojing, CUI Min, WANG Yiranet al. Effect of dust on performance of silicon solar cells[J]. Physics Experimentation,201636(3):624-629.
[本文引用:1]
[10] HEGAZY A A. Effect of dust accumulation on solar transmittance through glass covers of plate-type collectors[J]. Renewable Energy,200122(4):525-540.
[本文引用:1]
[11] 张风白建波郝玉哲. 光伏组件表面积灰对其发电性能的影响[J]. 电网与清洁能源,201228(10):82-86.
ZHANG Feng, BAI Jianbo, HAO Yuzheet al. Effect of airborne dust deposition on PV module surface on its power generation performance[J]. Power System and Clean Energy,201228(10):82-86.
[本文引用:1]
[12] 白恺李智宗瑾. 积灰对光伏组件发电性能影响的研究[J]. 电网与清洁能源,201430(1):102-108.
BAI Kai, LI Zhi, ZONG Jinet al. Influence of dust on the power generation performance of photovoltaic panels[J]. Power System and Clean Energy,201430(1):102-108.
[本文引用:1]
[13] BEATTIE N S, MOIR R S, CHACKO Cet al. Understanding the effects of sand and dust accumulation on photovoltaic modules[J]. Renewable Energy,201248(6):448-452.
[本文引用:1]
[14] KALDELLIS J K, KOKALA A. Quantifying the decrease of the photovoltaic panels' energy yield due to phenomena of natural air pollution disposal[J]. Energy,201035(12):4862-4869.
[本文引用:1]
资源
PDF下载数    
RichHTML 浏览数    
摘要点击数    

分享
导出

相关文章:
关键词(key words)
光伏组件
表面积灰
相对发电效率
输出功率
雨水冲刷

photovoltaic module
dust deposition on surfac...
relative power generation...
output power
rain washing

作者
武永鑫
王虎
李世杰
李芮
王靖雯

WU Yongxin
WANG Hu
LI Shijie
LI Rui
WANG Jingwen