含风力发电的互联电力系统自动发电控制优化方法研究 |
| 杨仁杰,李宇星,吴绍云,刘柳,焦坤 |
|
Research on Automatic Generation Control Optimization Method of Interconnected Power System With Wind Power Generation |
| YANG Renjie,LI Yuxing,WU Shaoyun,LIU Liu,JIAO Kun |
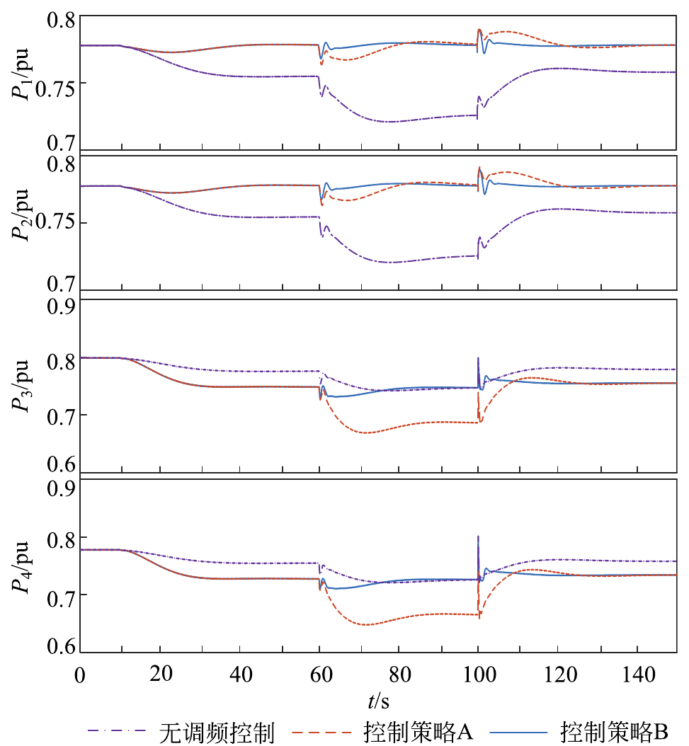
| 图8 同步发电机动态响应对比 |
| Fig.8 Comparison of dynamic response to synchronous generators |
![]() |