基于变论域模糊控制的VSG自适应控制策略 |
| 朱晓龙,刘毅力,刘圣荇 |
|
VSG Adaptive Control Strategy Based on Variable Universe Fuzzy Control |
| ZHU Xiaolong,LIU Yili,LIU Shengxing |
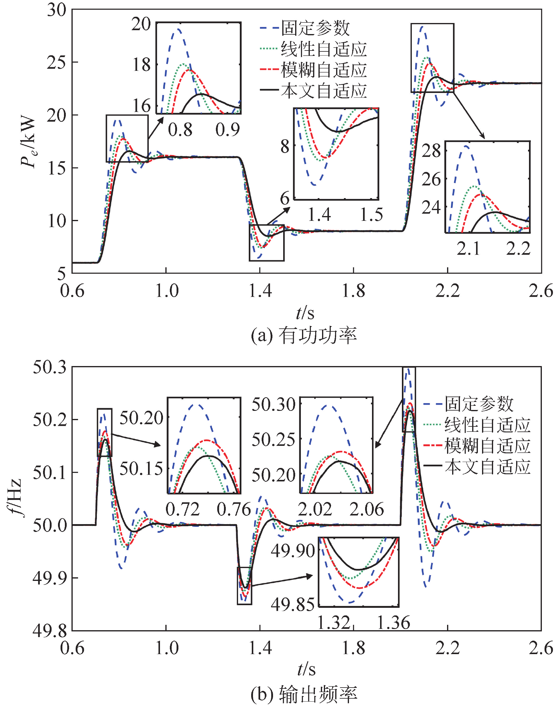
| 图14 负载变化时不同控制策略下的有功功率与频率响应波形 |
| Fig.14 Active power and frequency response waveforms when the load changes under different strategies |
![]() |