基于双层优化的微电网系统光储容量配置方法 |
| 李嘉丰,王莹,程晓绚,熊显智,孙纪康 |
|
Configuration Method of Photovoltaic Storage Capacity in Microgrid System Based on Bi-Layer Optimization |
| LI Jiafeng,WANG Ying,CHENG Xiaoxuan,XIONG Xianzhi,SUN Jikang |
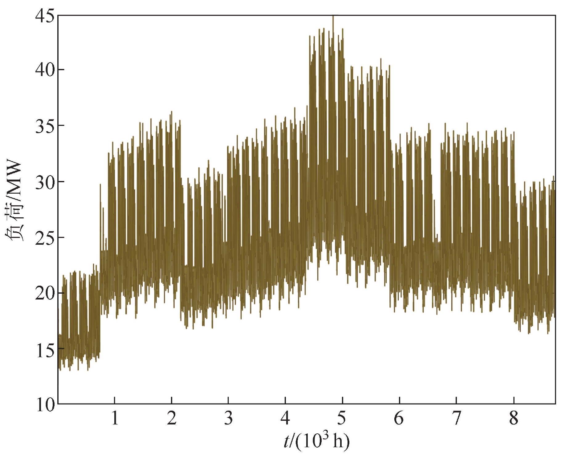
| 图2 年负荷预测曲线 |
| Fig.2 Forecasting curve of annual loads |
![]() |