含风力发电的互联电力系统自动发电控制优化方法研究
Research on Automatic Generation Control Optimization Method of Interconnected Power System With Wind Power Generation
收稿日期: 2020-08-25
Received: 2020-08-25
作者简介 About authors
杨仁杰(1993),男,硕士,主要研究方向为风力发电和电力系统稳定控制,wanderey@163.com; 。
刘 柳(1993),男,硕士,主要研究方向为风力发电以及储能参与电网二次调频技术,liuliushow@qq.com 。
关键词:
Keywords:
本文引用格式
杨仁杰, 李宇星, 吴绍云, 刘柳, 焦坤.
YANG Renjie, LI Yuxing, WU Shaoyun, LIU Liu, JIAO Kun.
0 引言
随着传统化石能源的日益消耗以及全球温室效应不断加剧,环境污染问题十分严峻,因此推进发展可再生能源显得尤为重要。由于风能具有无污染性、经济可行性高的特点,逐渐被公认为最为重要和最具有发展前景的可再生能源之一[1,2,3]。根据我国相关部门统计,截止到2017年底,我国风电累计装机容量达到了1.840 3×108 kW,风电渗透率已达9.2%[4],根据国家能源局“十三五”规划,在2020年风电装机容量要超过2.1×108 kW,意味着风电在电力系统中的占比进一步提高。但是由于自然界风力变化的强随机性以及间接性导致风电场的输出功率不断变化,从而加深了网源建设的矛盾,风电弃风限电现象日益严重,加之风电机组独特的结构与运行方式,使其不具备类似于传统发电机组的频率响应能力,大量的风电并网会对电力系统稳定性产生不利影响,一定程度上制约了电网对风电的消纳能力,因此大规模风电并网应具备参与电网调频的能力。
风电机组按调频原理不同可分为转子动能控制和有功备用控制,转子动能控制主要包括虚拟惯性控制、下垂控制、综合惯性控制以及短时功率控制,有功备用控制包括超速减载控制与桨距角控制。转子动能控制指的是在风电机组的有功控制系统引入相关的频率控制环节,从而实现旋转动能与电磁功率的相互转化[5]。文献[6]提出风电机组转子侧变流器可以附加一个短时过载功率,增加有功参考输出,参与系统调频;文献[7]提出利用虚拟惯性控制使风电机组释放转子旋转动能响应系统频率变化,但因为转速恢复环节会从电网吸收有功功率,导致频率的二次跌落;文献[8]根据不同的风速工况整定下垂控制参数,模拟传统同步发电机的静态功-频特性曲线,参与电网一次调频;文献[9]综合了虚拟惯性控制以及下垂控制,在风电机组有功功率控制环节通过引入频率偏差与频率变化率进一步提高了风机的频率响应能力;文献[10,11]提出了在转速不变的情况下,通过增大桨距角使风机运行点位于次优功率点,留有有功备用参与电网调频;文献[12,13]通过转子转速超速控制使得最大功率跟踪控制(maximum power point tracking,MPPT)运行曲线右移,在频率下降时,转速降低,从而增加风电机组出力响应频率变化;文献[14,15]提出一种全风速段结合超速减载和桨距角控制的综合调频控制方案,充分发挥风电机组的一次调频潜力;文献[16]利用下垂系数控制器和桨距角控制器使风电机组辅助水电机组参与调频;文献[17]综合利用风电频率响应速度快、火电响应持久的特点提出一种风电辅助火电调频的联合控制策略;文献[18]提出一种基于可变控制参数的双馈异步风力发电机(doubly fed induction generator,DFIG)与常规同步发电机相互协调的一次调频方法,从而提高风电调频能力以及风电消纳能力。
综上所述,目前国内外有很多关于风电调频的研究成果,但是很少会考虑风电场可以主动参与电网的频率调节,为了抑制由系统内部不同种类的扰动引发频率变化,有必要采用自动发电控制(automatic generation control,AGC)把风电场纳入电力系统调频控制,从而保证电力系统稳定运行。
本文通过研究风力机的机械特性,兼顾风电机组并网的经济性确定高风速工况下风电机组限功率运行;其次根据各发电厂装机容量、有功备用容量、调频能力等因素,在风电场有功功率控制环节引入区域控制误差(area control error,ACE)信号,搭建含有风电机组的AGC模型,把系统调频的任务下发到各发电厂,实现风电场和常规电源厂间的频率协调控制;改进了传统的变桨机构,提出一种高风速运行工况下限功率运行的风电机组参与电网二次调频控制策略,这样不仅可以充分利用风电场调频的快速性,也可以发挥常规发电机组的持续性,做到协同响应系统频率变化,保证电力系统稳定运行。最后通过算例仿真验证本文所提控制策略的有效性。
1 风电机组参与电网AGC调频控制方案
1.1 风电机组空气动力学模型
根据空气动力学原理,风力机捕获的机械功率可表示为
式中:ρ为空气密度;CP为风能利用系数;λ为叶尖速比;β为桨距角;R为风轮机半径;v为风速;且叶尖速比λ为
式中:ωr为风轮机转子的角速度,而Cp(λ,β)可进一步表示为
由式(
图1
图1
不同桨距角下风机的CP-λ特性曲线
Fig.1
CP-λ characteristic curves of doubly-fed wind turbine at different pitch angles
1.2 风电机组变桨控制原理
当转子转速为ωopt时,P1为β1=0时最大功率追踪模式下的最大机械功率,随着β1至β3等间隔递增,在同一最优转子ωopt情况下风轮机的机械功率Pm随着转速β发生相应的变化。当运行于MPPT模式下,变桨距风轮机存在唯一使得CP取得极大值,且满足:
从而最优叶尖速比λopt(βi)满足以下关系:
由于1点也为位于极佳功率曲线Popt1,故有:
假设桨距角减载水平为k%,则相同风速下可知变桨减载后风轮机输出的机械能Pdel_β为
式(
1.3 基于改进桨距角控制的DFIG机组参与AGC控制方案
当系统发生负荷扰动导致功率不平衡时,DFIG机组通过不断调整自身出力参与到系统频率调节中,图2给出了风机的频率响应特性曲线。
图2
图2可分为4个象限:象限Ⅰ为DFIG频率偏差-桨距角特性曲线,使得桨距角可以响应系统频率变化;象限Ⅱ为DFIG的功频静态特性曲线;象限Ⅲ为风轮机的风能利用系数-功率特性曲线,可由式(
为了使双馈风机能够主动响应系统AGC控制信号,本文改进了风电机组的桨距角结构,如图3所示。
图3
图3
基于改进桨距角结构的风电机组参与电网二次调频方案
Fig.3
Scheme of wind turbine participating in secondary frequency regulation of power grid based on improved pitch angle structure
其中改进后的风机桨距角控制方程为
式中:Ts表示桨距角伺服机构的时间常数;β0为DFIG机组减载运行时的预置桨距角,可以通过式(
式中:ΔPW为AGC下达的二次调频控制信号;Pset为风电机组计划功率设定值;Pe为DFIG的输出电磁功率;KP和KI分别是桨距角响应系统AGC信号控制器的比例增益系数与积分增益系数。
其中Popt1由式(
式中Pe0为DFIG的初始电磁功率。
改进的桨距角控制系统,可以通过使能信号E0触发变桨减载控制环节,根据调度指令下达给风电场的减载水平指令按照灵活配置风电场的二次调频有功备用,将AGC信号引入到桨距角补偿控制环节中,通过功率控制与转速控制相结合的桨距角控制可以按照使能信号E1灵活响应调度指令下达给风电场的有功增量信号ΔPW调整桨距角参与到系统的频率二次调节过程中去,分担系统的同步机二次调频任务。由于二次调频响应时间一般为系统发生有功扰动后的30 s到5 min之内,桨距角的伺服机构时间常数往往为s级,变化范围为±45°,变化速度为±(4~10)°/s,因此DFIG在系统的二次调频中具有快速功率爬坡能力,极大地提高了系统的频率响应能力。
2 计及风力发电的区域互联电网AGC模型
为了平抑系统内不同种类扰动引发的功率不平衡以及频率变化,有必要将风力发电纳入到AGC管理中,因此对AGC提出了更高的要求,从而保证电力系统运行稳定,提高电网对风力发电的消纳能力。
2.1 含风力发电的电力系统频率二次调节原理
互联电力系统的二次调频从本质上来说当系统的有功功率平衡关系被破坏(如发电机切机和启动,负荷的增加和减少等),在一次调频控制实现的频率和联络线潮流有差调节的基础之上,各控制区域启动辅助控制环节,通过改变发电机调速系统使得系统有功功率重新达到额定点的平衡,从而实现频率无差调节,把ACE信号通过恢复性积分环节作用于各个调频厂的发电机组。
当控制区域i采用定频率控制(flat frequency control,FFC),其区域误差控制为
式中:Δfi为控制区域i的频率偏差;βi为区域i的频率修正系数。
当控制区域j采用联络线功率以及频率偏差控制(tie line bias frequency control,TBC),其控制目标为迅速实现本区域频率无差调节以及联络线交换功率恢复至额定值,该区域误差控制为
式中:Δfj为控制区域j的频率偏差;βj为区域j的频率修正系数;ΔPtieij为控制区域i与控制区域j的联络线交换功率偏差,其计算公式为
式中:Ptieij为控制区域i与控制区域j的联络线交换功率实际值;PStieij为交换功率计划值。
电力系统的二次调频往往采用比例积分调节法实现频率无差调节,即
式中:ΔP″G为同步发电机组参与二次调频的有功增量;αG为参与调频因子。
根据同步机二次调频方程定义风电场调频方程:
式中:ΔP″W为DFIG在二次调频过程中的有功增量;αW为DFIG参与二次调频的参与因子。
只有满足Δf=0时二次调频控制器作用才会结束实现频率的无差调节,当系统中m台同步发电机组与n台DFIG机组均为AGC机组时,上式联立可得:
式中:αGi以及αWj分别对应同步发电机组与风电机组承担系统调频任务的参与因子;ΔP″Gi为第i台同步发电机组的有功出力变化量;ΔP″Wj为第j台风电机组的承担调频任务的有功出力变化量。
从而推出系统内AGC机组的有功出力之和ΔP″∑为
式中αsys为等效参与因子。
由式(
2.2 计及风力发电的电力系统AGC控制策略
在互联电力系统中,负荷频率控制要求满足在确保联络线交换功率维持在计划值的情况下,每个区域电网仅承担本区域内负荷扰动导致的调频任务,仅在严重的负荷扰动下或者有功不平衡下才会通过联络线进行相应的功率交换,对相邻区域进行短时间的有功支撑,基于上述理论分析,图4给出了计及风力发电的电力系统频率响应模型。
图4
图4
计及风力发电的电力系统频率响应模型
Fig.4
Frequency response model of power system considering wind power generation
为此可以对上述电力系统响应模型划分3个层面:风电机组层、风电场层以及含风电系统层。
1)含风电系统层:测量该区域发电厂母线处的电压频率值,计算该区域的频率偏差,测量区域间联络线的功率交换值。通过式(
2)风电场层:主要考虑与常规电厂间的协调控制,当处于低风速工况时,风电场没有通过变桨控制留有功率备用,因此风电场的调频因子为0,同步发电机组的调频因子为1。当风电场切入到高风速段,此时如果调度指令让风电实行限功率运行,则风电场的调频因子为1,反之如果系统有功不足,调度指令让风电场继续按照MPPT出力,调频因子为0。当系统有功不足,且风电场留有功率备用时,由于风电具有快速的爬坡能力,因此应优先考虑调度风电,风电场参与因子为1,其他常规电厂的参与因子为0。
3)风电机组层:主要根据改进的桨距角控制分为以下3种情况。
情况1:由于风力变化的强随机性以及间接性导致风电场的输出功率不断变化,加之由于中低风速段DFIG的有功出力较小,二次调频置信度较低,因此在中低风速段不考虑将DFIG机组作为AGC调频机组,为了保证DFIG的经济运行,采用MPPT控制运行模式,当DFIG机组处于中低风速工况下,桨距角控制结构的使能信号E0,E1信号为0,风电场参与因子为0。电力系统的二次调频有功增量主要由各同步发电厂承担。
情况2:当风速增加至额定风速以上,处于高风速工况,在风速变化之前系统有功平衡,此时风功率波动会引起系统频率恶化,进而触发桨距角控制信号E0,计算预留桨距角,实现根据调度指令需求的限功率运行方式,变桨减载留有有功备用。
情况3:当处于高风速工况下,风电机组通过桨距角控制实现限功率运行,此时当系统有功负荷增加,或者其他风电场风速降低,触发桨距角控制信号E1,不断调节DFIG的桨距角增大有功出力,使系统频率恢复至额定值,联络线交换功率恢复至计划交换值。
3 仿真分析
图5
为了模拟风功率波动对电力系统频率的影响,设定风电机组W1的起始风速为10.5 m/s,风速在60 s变化到10 m/s;风电机组W2的起始风速为11 m/s,风速在10 s变化到12 m/s,60 s变化到14 m/s;负荷L2在100 s增大100 MW。由本节对比了3种不同工况:无调频控制、仅有同步机参与AGC调频控制的控制策略A、风电机组高风速限功率协助同步机参与AGC调频控制的控制策略B,相应的系统动态变化如图6所示。
图6
图6
系统频率以及联络线动态响应对比
Fig.6
Comparison of system frequency and tie line dynamic response comparison
图6为系统联络线交换功率动态响应图,由图可知:
1)当无AGC调频控制,在10 s第一次风功率波动时,系统频率将在50 s稳定在50.07 Hz,系统联络线交换功率将在50 s稳定在233 MW,对比分析控制策略A与控制策略B,由于W1与W2均处于低风速,均不参与系统调频,系统频率将在50 s稳定在50 Hz,联络线交换功率值在35 s恢复至308 MW。
2)当无AGC调频控制,在60 s第二次风功率波动时,系统频率的峰值为50.2 Hz,在90 s稳定在50.16 Hz,系统联络线交换功率在90 s稳定在142 MW,对比分析控制策略A与控制策略B,由于此时W2将从MPPT区进入恒功率区,采用限功率运行,而W1此时有功功率随着风速下降减小,采取控制策略A时,系统频率的峰值为50.06 Hz,谷值为49.97 Hz,在100 s稳定在50 Hz,采取控制策略B时,系统频率的峰值为50.03 Hz,谷值为49.99 Hz,在85 s稳定在50 Hz,控制策略B的联络线功率下行窜动相较于控制策略A少了44 MW,控制策略B在90 s恢复至计划值,相较于控制策略A快了10 s。
3)当无AGC调频控制,在100 s负荷扰动时,频率最大跌落0.15 Hz,在130 s稳定在50.06 Hz,联络线交换功率在120 s稳定在242.7 MW,对比分析控制策略A与控制策略B,采取控制策略A,频率最大跌落0.06 Hz,最大涨幅为0.02 Hz,在140 s稳定在50 Hz,采取控制策略B,频率最大跌落0.04 Hz,最大涨幅为0.01 Hz,在115 s稳定在50 Hz,控制策略B的联络线功率上行窜动相较于控制策略A少了21 MW,控制策略B在120 s恢复至计划值,相较于控制策略A快了20 s。
可见,当无AGC控制时,系统联络线交换功率值与联络线交换功率计划值308 MW不能保持一致,无法维持系统电压与频率在给定范围内,不利于电力系统稳定运行,当仅有同步机参与AGC调频控制以及风电机组高风速限功率协助同步机参与AGC调频控制时,可以看出系统频率均得到极大的改善,系统联络线交换功率值均可以恢复至联络线交换功率计划值,对比这2种控制策略,风电机组高风速限功率协助同步机参与AGC调频控制可以更为快速确保其频率恢复至额定值以及联络线交换功率值与交换功率计划值一致,满足电力系统安全、优质运行的需求。
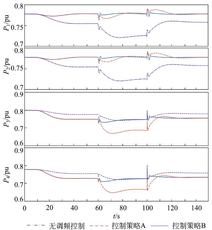
图7为双馈风机动态响应对比图,双馈风机W1一直处于低风速工况,在60 s时风速变化出力由0.426 7 pu减少到0.368 1 pu,保持MPPT运行提供最大出力,不进行变桨距限功率运行,桨距角始终保持0度;双馈风电机组W2在60 s时风速由于超过额定风速进入恒功率区,在无系统负荷扰动不参与调频的情况下出力将由0.636 9 pu增加到0.878 2 pu,风功率波动较大,不利于系统稳定运行,兼顾W1出力减少,触发变桨机构灵活响应AGC指令信号,桨距角将增加2.749°,实现限功率运行出力0.698 7 pu,在100 s时此时系统无风功率波动,负荷增加100 MW,风力发电机组W2优先调度,减少桨距角、增大出力、快速响应系统频率变化。
图7
图8为同步机动态响应对比图,在10 s第一次发生风功率波动时,由于W1和W2均处于低风速不参与调频,无调频控制时虽然同步机出力减少但是系统频率波动较大,因此有必要采用AGC控制。对比控制策略A与控制策略B,虽然在60 s到100 s控制策略A的同步机出力小于控制策略B,但是无论是系统频率还是联络线功率恢复至额定值的时间将会增大,从某些方面增大二次调频成本。
图8
4 结论
1)根据风电变桨控制原理以及AGC原理,通过风电有功控制系统引入ACE信号实现风电机组响应调度指令,从而搭建含有风电机组参与电网二次调频的模型。
2)兼顾风电机组运行经济性与电网稳定性,通过改进桨距角机构,在风速变化至高风速工况时进行限功率运行灵活响应系统调度指令,提高风电的消纳能力。
3)当高风速风电机组限功率运行参与电网二次调频时,相较于传统机组参与AGC调频控制,可以有效减少风功率波动以及负荷扰动下系统频率的变化率,缩短系统频率以及联络线功率恢复额定值时间,确保电力系统稳定运行与控制。
参考文献
变速风电机组的惯性与一次调频特性分析及综合控制
[J].
Analysis and integrated control of inertia and primary frequency regulation for variable speed wind turbines
[J].
Frequency response of power systems with variable speed wind turbines
[J].
Impact of wind generation on the operation and development of the UK electricity systems
[J].
基于转子动能控制的双馈风电机组频率控制改进方案
[J].
Improved frequency control strategy for DFIG-based wind turbines based on rotor kinetic energy control
[J].
Regulation and frequency response service capability of modern wind power plants
[C]//
A new power stabilization control system based on making use of mechanical inertia of a variable-speed wind-turbine for stand-alone wind-diesel applications
[C]//
基于双馈风电机组的变下垂系数控制策略
[J].
Droop control with variable coefficient based on doubly-fed wind power generator
[J].
直驱永磁风电机组虚拟惯量控制的实验方法研究
[J].
An experimental study method of D-PMSG with virtual inertia control
[J].
Participation of doubly fed induction wind generators in system frequency regulation
[J].
变速恒频双馈风电机组频率控制策略的改进
[J].
Improved frequency control strategy for variable-speed constant-frequency doubly-fed induction generator wind turbines
[J].
基于有功备用的风电机组一次调频能力及调频效果分析
[J].
Capability and effect of primary frequency regulation by wind turbine generators with active power reserve
[J].
结合超速备用和模拟惯性的双馈风机频率控制策略
[J].
Integrated frequency control strategy of DFIGs based on virtual inertia and over-speed control
[J].
超速与变桨协调的双馈风电机组频率控制
[J].
Frequency regulation by doubly fed induction generator wind turbines based on coordinated over-speed control and pitch control
[J].
电网限负荷条件下风电场一次调频策略
[J].
Primary frequency control strategy for wind farms under output-restricted condition
[J].
Frequency control by variable speed wind turbines in islanded power systems with various generation mix
[J].
风火联合调度的风电场一次调频控制策略研究
[J].
Wind farm primary frequency control strategy based on wind & thermal power joint control
[J].
基于可变系数的双馈风电机组与同步发电机协调调频策略
[J].
Variable coefficient based coordinated frequency modulation strategy between DFIG-based wind turbine and synchronous generator
[J].
/
| 〈 |
|
〉 |
清华大学出版社期刊中心



